안녕하세요
오늘은 기술적지표 이동평균선에 대해 이야기를 해드리고자합니다.

먼저 이동평균선(Moving Average)혹은 이평선이라고 말하는 이 지표는 기술적분석에서도 가장 기본이 되는 지표이며 또한 가장 영향력이 있는 지표이기도 합니다. 이동평균선에 대해서만 명확하게 이해한다면 여러분들은 투자에 큰 도움이 될 수 있습니다. 대부분 기술적 지표를 믿고 투자를 하는 사람이라면 항상 이를 차트와 함께 켜놓고 참고합니다. 물론 저또한 그렇습니다.
그렇다면 이동평균선이란 과연 무엇일까요?
이동평균선의 계산법과 숨은 의미
과거의 특정적인 시간안에 시장가격 평균을 이동평균이라하고 이를 모든 시간에 대해 연결하는 것을 이동평균선이라 합니다. 사실 수학이나 해석적 논리에 친근하지 않은 사람에게 이렇게만 말하면 당최 이게 무슨이야기인지 의아해 하실분들이 있으실겁니다. 예를 들면 10일 이동평균선이라하며 해당 날짜 전의 10일동안 종가의 가격 평균을 말합니다. 1일, 2일, 3일, … 15일 종가의 평균입니다. 그리고 그 점은 15일에 표사되는 것입니다.
시장에서는 토,일이라는 주말을 제외한 5일을 5거래일로 보고 매매가 이루어지고 있습니다. 따라서 5일 이동평균선은 1주일간의 주가의흐름을 파악하는 데에 도움을 주고, 20일 이동평균선은 1달간의 주가의 흐름, 240일 이동평균선은 약 1년간의 주가의 흐름을 보여주는 지표입니다. 5일과 20일 이동평균선은 주로 '단기 스윙'매매로 이용이 되며, 60일, 120일 이동평균선은 중장기매매에 이용됩니다.
주로 이동평균선을 사용하는 사람들은 5일선을 '심리선', 20일선을 '추세선', 60일선을 '수급선', 120일선을 '경기선'으로 이야기합니다.
'심리선'은 시장의 단기적인 시장 분위기를 나타내며,
'추세선'은 시장의 상승/ 하락 추세를 판단할 수 있으며,
'수급선'은 수요와 공급의 균형점이 되는 선이며
'경기선'은 경기의 흐름을 나타낸다고 합니다.
그 동안의 수학적으로 수치의 평균을 구하는 방법은 다양한 방법들이 있습니다.
산술평균, 기하평균, 대수평균 등 각 방법은 겨로가에서 미미한 차이를 보여주지만 방법에 따라 데이터의 '특정한 측면'을 강조하게 됩니다.
이동평균선을 계산하는 방법은 SMA와 EMA입니다.
SMA(Simple Moving Average)는 단순 이동평균의 준말
EMA(Exponenetial Moving Average)는 지수 이동평균의 준말

단순이동평균(SMA)은 가장 기본적인 것으로 우리가 일반적으로 학교 시험의 평균을 낼 때 사용하는 방법과도 같습니다.
모든기간동안의 합 / 기간의 일수로 계산을 합니다.
다만 직관적으로 계산할 수 있지만 변화에 대해 둔감하게 반응하며 극적인 변화가 있을 경우 평균값에 대한 신뢰도가 떨어지게 됩니다.
(즉, 급락이나 급등이 있을 경우 평균값에 대한 신뢰도는 떨어지게 됩니다.)

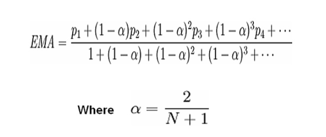
지수이동평균(EMA)은 가중 변수를 이용하여 '최근 수치에 대한 반영을 높히고 과거 수치의 영향력은 낮추는 이동평균선입니다.'
그렇다면 이평선은 어떤식으로 활용해야 할까요?
이평선은 차트에서 현재 종목의 지지선과 저항선에 대비하여 어디쯤에 위치하고 있는지를 비교하는 것에 사용합니다.
가격이 폭등 또는 폭락하여 이동평균선에 접근하게 되면 투자자는 이때 가격 지지선으로 보고 움직임이 멈추었거나 반등세를 나타낼 수 있다는 신호로도 활용이 가능합니다.
예를 들면 200일 지수 이평선까지 하락하였다면 반등세를 보일 수 있다는 것에 예측을 하여 미리 파악해볼 수 있습니다.
자신의 투자에 따라(데이트레이딩, 스켈핑, 스윙 등) 사용하는 이평선의 날짜는 달라지게 됩니다.
같은 차트에서 단기 EMA를 사용하여 그날의 추세를 확인해 볼 수 있으며, 보다 더 장기적인 투자에서는 장기 EMA를 사용하는 편이 이롭습니다.
다만 이평선에 닿았다를 교차한다고 이야기를 합니다. 이는 중대한 가격 변화를 의미하기 때문에 트레이더는 이에 대한 특별한 관심을 미리 가져야 합니다.
예를 들어서 고전적으로 50일 EMA 이평선이 장기 이평선을 상향 돌파하였다면 고전적으로 선물 가격의 강세 신호로 이어집니다.
이평선은 현재까지의 가격의 추세와 향후 방향에 대한 판단을 할 수 있도록 도와주는 고마운 지표입니다.

이평선 골든크로스, 데드크로스
먼저 골든크로스와 데드크로스가 무엇을 의미하는지는 한번 간단히 알아보도록 하겠습니다.
골든 크로스란 말만 들어봐도 좋은 단어로 예상이 되듯이 짧은 단기의 이동평균선이 장기의 이동평균선을 상향 돌파했을 때를 말합니다. 상황 돌파, 아래에서 위로 가로지름을 의미합니다. 아래에 간단한 예를 보도록 하겠습니다.
파란색 단기 이동평균선이 빨간색 장기 이동평균선을 상향 돌파하였을 때, 이를 골든크로스라고 합니다.
이는 많은 전문가들이 매수 신호라고 이야기를 하고 있습니다.

데드크로스는 반대로 단기 이동평균선이 장기 이동평균선을 하향돌파 하였을 때를 말합니다. 아래 그림을 참고해주시면 감사하겠습니다. 이는 많은 전문가들이 매도 신호라고 합니다.

일반적으로 이동평균선은 위에서 언급했듯이 5, 10, 20, 60, 120일을 많이 사용합니다. 골든크로스와(골크)와 데드크로스(데크)의 정의는 위와 같지만 모든 골크와 데크가 같은 영향력을 갖고 잇는 것은 아닙니다. 영향력이란 전체 추세에 미치는 힘을 이야기합니다. 이것이 무슨말인지 좀 더 자세히 말하자면 서로 주기가 너무 멀리 떨어진 이평선과 골크 및 데크는 영향력이 크지 않습니다.
즉, 5일-10일, 10-20일, 20일-60일, 60일-120일끼리의 골크와 데크는 영향력이 크지만 5일-20일 간의 영향력은 상대적으로 크지 않습니다. 더 먼 주기끼리는 거의 영향력이 없다고 봐도 됩니다.
또한 단기 이평선끼리의 골크 및 데크보다 장기 이평선끼리의 골크 및 데크가 영향력이 큽니다. 말 그대로 5일-10일간의 데드크로스보다 60일-120일끼리의 데드크로스가 영향력이 더욱 크다고 볼 수 있습니다.
이평선의 한계점

추세선이라고는 하지만, 다음 호가의 주가를 예측할 수 있게 해주는 것만은 아닙니다. 그러나 위에서도 언급했듯이 많은 사람들이 이평선을 보고 지지선이나 저항선등으로 생각하고 무조건적인 거래를 하는 심리가 있기 때문에 실제 현실에서도 맞아 떨어지는 경우가 있습니다. 물론 모든 경우가 다 그렇다는 것은 절대로 아니지만, 그럴 가능성이 많다는 것을 염두에 두고 매매를 하는것이 좋습니다.
오늘은 이렇게 간단히 이평선의 종류와 이평선을 활용하는 방법을 이용한 매매기법을 알아보았습니다. 많은 변동성으로 단기간에 수익과 손실을 모두 가져다주는 해외선물, 꾸준한 공부만이 수익을 낼 수 있는 성공투자의 지름길이 될 수 있습니다.
'기술적지표' 카테고리의 다른 글
| RVI (Relative Volatility Index)에 대해 알아보기 (0) | 2024.04.05 |
|---|---|
| 이동평균수렴·확산지수, MACD 이해하기 (5) | 2023.12.12 |
| 엘리어트 파동이론 (2) | 2023.12.08 |
| 하이먼 민스키 패턴 (2) | 2023.12.07 |
| 삼각수렴 패턴 (1) | 2023.12.06 |